서버 개발을 하다 보면
암달의 법칙에 대해 들을 때가 있다
서버 성능과 관련하여 암달의 법칙이란 것이 있다
이 법칙은 일부의 성능 개선이 전체 개선이 어느 정도 되는 지를 정량적으로 알 수 있는 공식을 제공한다
예를 들어,
특정 API의 성능 개선을 하는데,
WAS의 비즈니스 로직을 30%개선 하더라도
WAS가 전체 성능의 10%밖에 차지 안 한다면
전체 시스템의 개선 정도는 2.36% 정도만 되는 것이다

직관적인 해석
예를들어 일(Work) Wa, Wb가 있다고 가정해 보자

일 전체 (Wa +Wb)를 수행하는 데 60분이 걸린다고 하자
그리고 Wa를 수행하는데 40분, Wb를 수행하는데 20분이라고 가정하자
(Wa는 전체의 2/3 이다)
Wa에 대해 성능 개선을 해서 40분에서 20분으로 줄였다고 한다면, (2배 개선)
전체 작업시간은 60분에서 40분으로 줄은 것이다
즉, 전체 일의 효율은 1.5배가 된 것이다.
암달의 법칙을 적용할 경우 똑같은 값이 나오는 지를 확인해보자
P: 개선한 일이 차지하는 비율 (0 ≤ P ≤ 1)
S: 개선한 비율 (일반적으로 S>1 라 가정)
암달의 법칙은 아래와 같다

개선한 일이 차지하는 비율 P는 2/3 이다 (60분 중에서 40분)
개선한 비율 S은 2이다 (효율이 2배)
자, 위 공식에 대입해 보자



검산 결과 1.5배가 나오는 것을 확인할 수 있다
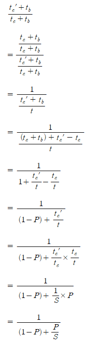
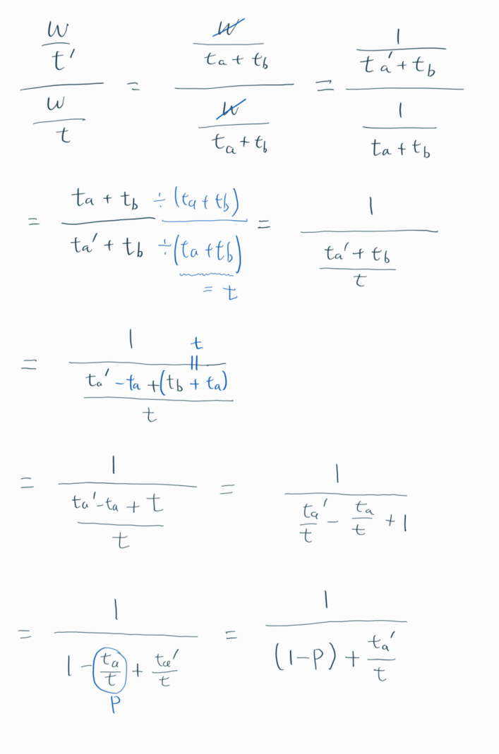
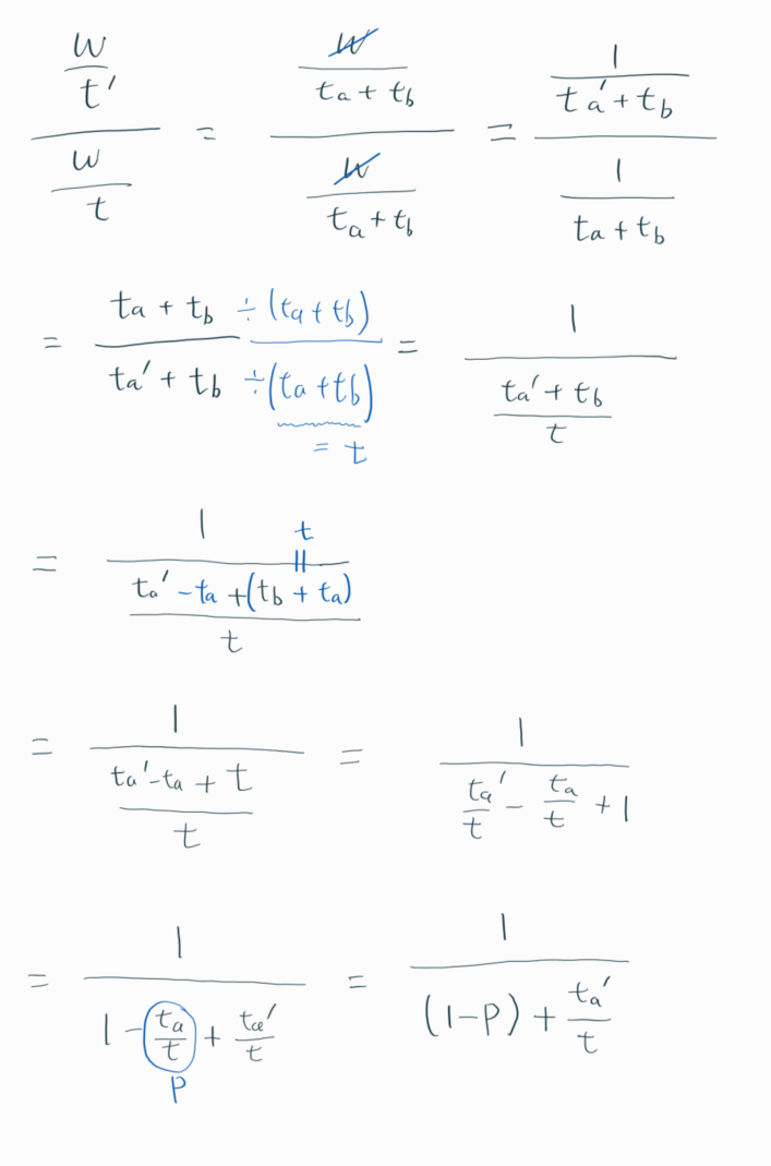
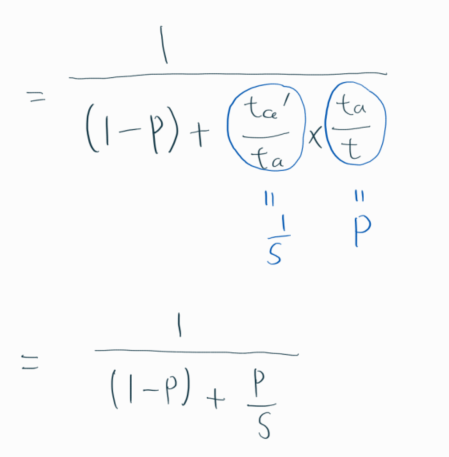
공식 유도


가정은 저렇게 한다
위 법칙을 가지고 몇 가지를 다시 정리해보자

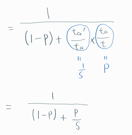
그럼 우리가 구하고자 하는 답은 위와 같다

잠깐, 중간에 나온 공식도 나름 이쁘고 간결하지 않은가?
저게 올바르게 유도한 것인지, 검증해보자
ta=40, ta'=20, tb=20 이다

올바른 길로 향하고 있다는 것을 잠시 확인해보았다
이제 끝까지 가보도록 하자!

자, 이렇게 증명이 되었다 !!
전제
단 위 공식에서 아래를 가정한다

삼성 노트 증명


'기타' 카테고리의 다른 글
| 블로그, 월간 방문수 1000회 돌파 (0) | 2024.01.25 |
|---|---|
| 블로그 대공사!! 티스토리 스킨 변경 (0) | 2024.01.22 |
| 내가 깃헙 블로그에서 티스토리로 복귀한 현실적인 이유 (0) | 2023.05.12 |
| 바밀로 2세대 무접점 Sea Melody 데이지축 (0) | 2021.04.01 |
| 코테의 고양이 소리 (0) | 2020.11.25 |
hi hello... World >< 가장 아름다운 하나의 해답이 존재한다
포스팅이 좋았다면 "좋아요❤️" 또는 "구독👍🏻" 해주세요!